网站首页
部门概况
师资队伍
党团工作
中心工作
教学训练
招生工作
联系我们
友情链接
部门概况
学校概况
中心概况
协会概况
领导简介
机构设置
基地工作
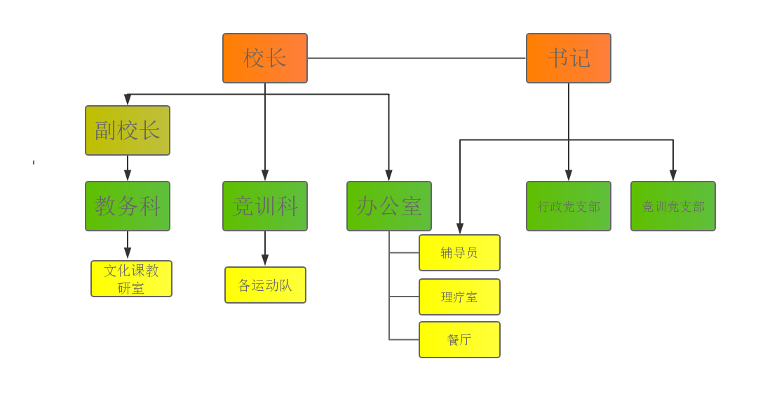
机构设置
当前位置:
网站首页
>
部门概况
>
机构设置
竞技体校机构设置
版权所有:
西安体育学院竞技运动学院 西安市碑林区含光北路65号 邮编:710068 联系电话:029-88409750